文件大小:1.59M

适配高一数学三角函数教学进度与期末备考需求,聚焦三角函数模块高频易错点、易混点,精准对接校内考试及同步复习要求,兼顾易错点剖析、错题复盘与技巧强化,是高一学生突破三角函数难点、规避答题失误、夯实模块基础的优质专项资料。
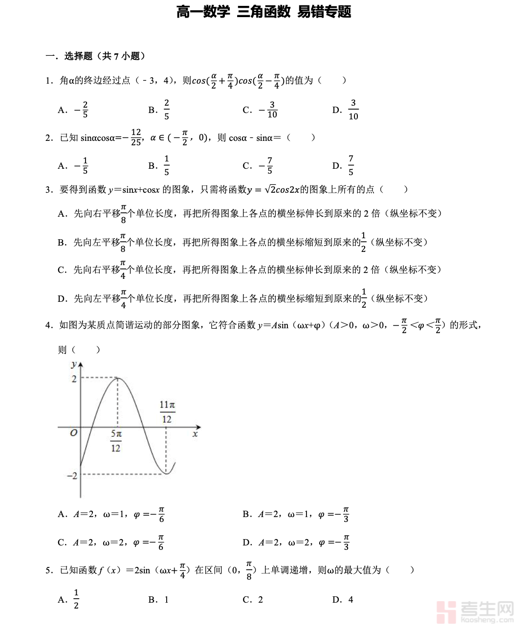
本专题紧扣高一数学三角函数考纲,贴合高一学生数学认知水平,全面梳理三角函数核心易错模块,涵盖三角函数的定义、诱导公式、同角三角函数基本关系、三角函数图像与性质、三角恒等变换等重点内容,精准提炼学生常犯易错点(诱导公式符号判断、定义域忽略、图像变换规律混淆、恒等变换公式误用等)。
专题以 “易错点剖析 + 典型错题 + 解题规范 + 避坑技巧” 为核心,每个易错点均搭配典型例题,拆解错误思路、分析失误原因,给出规范解题步骤与针对性避坑方法,引导学生理清解题逻辑,纠正思维误区,同时强化知识点的灵活运用,有效解决 “听懂课、做错题”“知识点混淆、答题不规范” 的痛点。
内容条理清晰、重点突出,专项针对性极强,按易错点分类排版,方便学生快速定位自身薄弱点、精准复盘错题,适配高一学生三角函数专项复习、错题整理、考前冲刺、查漏补缺等场景。既是学生自主突破三角函数易错难点的便捷工具,也可作为教师专项教学、错题讲解的辅助资料,助力高一学生吃透三角函数知识点,规避常见答题失误,夯实数学基础,稳步提升模块答题正确率。
浏览量:5